
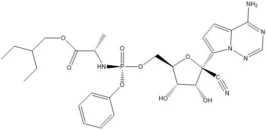
Product Name: | 瑞德西韋雜質12: 2-ethylbutyl ((R)-(((2R,3S,4R,5S)-5-(4-aminopyrrolo[2,1-f][1,2,4]triazin-7-yl)-5-cyano-3,4-dihydroxytetrahydrofuran-2-yl)methoxy)(phenoxy)phosphoryl)-L-alaninate | | |
CAS Number: | |||
Molecular Weight: | 602.576 | ||
Appearance: | |||
Purity(HPLC): | 95% | ||


